Skip to main content

Graph Neural Networks

What is a Graph?

  • A data structure consisting of vertices (nodes, vertices) and edges (edges, links)

  • Edges can be directed or undirected

  • May contain loops (edges connecting the same vertex to itself)

  • Vertices and edges may have attributes (properties)

    • There are many examples where vertices have attributes (also referred to as Feature Vectors)
  • Edges may have weights

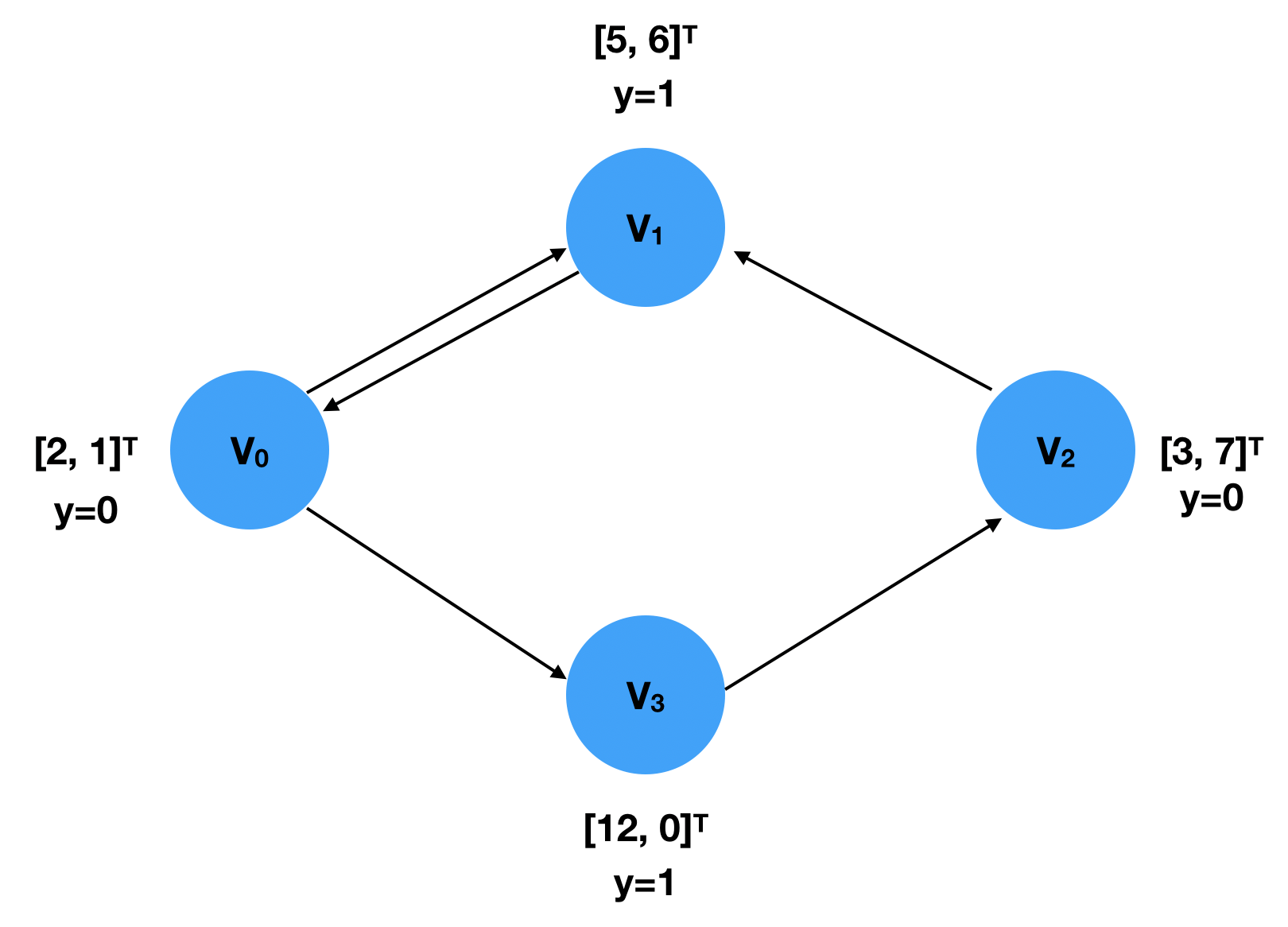
    Graph

  • y is the attribute of a node

  • [2,1]^t etc. is expressed as x, the property

Examples

  • Internet, Web
  • Transportation networks, purchase data
  • Video and music viewing history
  • Paper co-authorship relationships
  • Proteins
  • Molecular structures
  • 3D object polygon representations
  • etc...

Real-World Examples Representable as Graphs

application

Representations for Computers to Understand Graphs

  • Adjacency matrix

    adjacency matrix

  • Sparse Matrix

Application of Graphs to Deep Learning

  • The rise of deep learning
    • In the image domain

      • In research: from around 2012~

      • In business: from around 2016~

        CNN

    • Practical business deployment begins a few years after cutting-edge research

History of Graph Convolution

  • The Graph Neural Network Model (2009)
  • Spectral Networks and Locally Connected Networks on Graphs (2013)
    • The first attempt to apply CNNs to graphs
    • Computational processing using Graph Fourier, with constraints such as not handling loops or multi-edges
  • Graph Convolutional Networks (GCN)
    • Semi-Supervised Classification with Graph Convolutional Networks (ICRL2017)

      GCN

    • Removed Graph Fourier constraints and introduced simple yet high-performance GCN for graphs

Distributed Representation of Graphs / Graph Embedding

  • Vectorization of graphs

    Graph Embedding

  • A technique analogous to learning distributed representations in natural language processing

Graph NN Appications

  • Tasks
    • Node classification
    • Graph classification
    • Linkage prediction
    • Similarity estimation
    • Reference: Graph Embedding Techniques, Applications, and Performance: A Survey

Electrical Circuit Applications

  • There have been many examples of applying graph theory to electrical circuit design

  • Starting in 2019, examples of applying graph neural networks to electrical circuits have emerged

Application of GCN to Electrical Circuit Design

Circuit-GNN (ICML 2019)

Circuit-GNN

Fault Location in Power Distribution Systems via Deep Graph Convolutional Networks

  • Estimating fault locations using GCN

Fault Location

Attempt to Represent Netlists (Electronic Circuit Connectivity) Using Graph Networks

Current Status and Challenges of Deep Learning in the EDA Field

  • With the emergence of GCN spreading deep learning to various fields, use cases in the EDA field remain few
    • Given the industry workforce, it is unlikely that no one is working on it
    • Assumed challenges:
      • Dataset sharing is not progressing (conversely, the barrier to entry is high)
      • Circuits are inherently complex, making the difficulty level high
  • The latest EDA-related literature has small problem settings
    • The impression is that this is still in the early exploration stage

End